瓦楞纸箱由瓦楞纸板制成,从瓦楞纸板的结构分析,瓦楞纸板有里纸、面纸、楞纸和中纸组成,其中瓦楞纸像骨骼一样起支撑作用,它对强度的影响超过面纸和里纸,因此瓦楞原纸的边压强度(CCT)测试变得非常重要,CCT主要影响瓦楞纸箱的抗压性能。
为进一步提高楞原纸边压强度测试的精准性,QQpoker科仪自主研发相匹配的环压取样器以及制样仪器槽纹仪。
一、瓦楞原纸的边压强度(CCT)测试
瓦楞原纸边压强度测试原理:一定规格的试样(152mm×12.7mm)在槽纹仪上起楞后,用试样夹持器固定试样状态,然后放置在压缩仪上进行压缩测试,直到瓦楞被压溃之前,单位长度所能承受的最大压力,单位为千牛每米(kN/m)。
实验设备及实验材料
压缩强度试验仪、环压取样器、槽纹仪和CCT夹持器及瓦楞原纸。
试验过程
1. 试样的采取和处理
按照国标GB/T 450和GB/T 10739进行试样的采取和处理。
2. 取样
用环压取样器准确地切取宽12.7mm±0.1mm,长度152mm±0.5mm的试样,试样数量至少10张,长边为试样的纵向,试样的长边方向平行度在0.01mm以内,且整洁、无缺陷。
3. 参数设置
现将测试模式切换到CCT模式,然后设置测试速度12.5mm/min,压板间距(略高于试样高度12.7mm,例如14~15mm),等待测试。

4. 起楞 制样
启动槽纹仪,当压辊加热到(175±8)℃时,将试样长边垂直插入送料口,使试样起楞,把起楞后的试样放在夹持器中。

5. 测试
测试有两种:起楞后立即测试和温湿度处理30min后测试。

A一测试样品 B一夹持器
5.1 起楞后立即测试。如果试样起楞后立即进行压缩测试,从起楞到施加压力的时间应在20~25s以内,也就是制样好要马上测试,即CCT0。
5.2 温湿度处理30min后测试。如果试样起楞后进行温湿度处理,试样应在温度(23±1)℃、相对湿度(50±2)%环境中处理30~35min,即CCT30。

6. 结果计算
6.1 瓦楞原纸边压强度
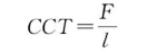
按式(1)计算瓦楞原纸边压强度CCT,结果精确至0.01kN/m。
.................................(1)
式中:
CCT——边压强度,单位为千牛每米(kN/m);
F ——最大压力,单位为牛顿(N);
l ——起楞前试样的长度,单位为毫米(mm)。
为了快速确认检测结果所使用的方法,在多数情况下,可使用以下结果表示方法:
CCT0=x.xx kN/m
CCT30=x.xx kN/m
其中CCT表示边压强度,下标表示温湿度处理的时间,单位为分(min)。
6.2 边压强度指数
按式(2)计算瓦楞原纸边压强度指数Y,单位为牛顿米每克(N·m/g):
.................................(2)
式中:
Y ——边压强度指数,单位为牛顿米每克(N·m/g);
——边压强度的平均值,单位为千牛每米(kN/m);
g ——试样的定量,单位为克每平方米(g/m2)。
